学分高考 留学 留学资讯

北京语言大学是一本吗(北京高校各省录取分盘点)

发布时间: 2023-01-12 21:08:19

北京作为中国的政治、经济、文化、科技中心,吸引着众多学子的目光!

去北京上大学,是很多考生的梦想!

如果你的分数不高,又想去北京读大学怎么办?一定要认真分析本省的录取数据,对照下自己的分数和位次,有针对性地选择。

北京市高校每年在北京,垫底的大学是哪些?这些垫底的大学,在全国各省的情况又是怎样?本文总结了2020年全国各省北京市大学的录取数据,仅供大家参考。

一、勋哥分析

1、北京市历年垫底的大学

2020年北京市新高考本科录取数据

北京高校各省录取分盘点:这6所大学,最适合低分考生,请收藏

2018年北京市理科一本垫底的大学

北京高校各省录取分盘点:这6所大学,最适合低分考生,请收藏

2017年北京市理科一本垫底的大学

北京高校各省录取分盘点:这6所大学,最适合低分考生,请收藏

2、分析:

从历年数据来看,北京市常年垫底的大学是以下几所:北京农学院、北京信息科技大学、北京印刷学院、北方工业大学、北京物资学院、而北京工商大学、北京建筑大学、北二外,北京中医药大学和北京协和医学院相对位置会更高一点。

从与全国各省录取数据对比来看,这些垫底的大学,基本上在全国各省,也处于垫底的水平。只是不同的省份,数据表现略有不同。

如果考生分数较低,可以结合自己的分数位次,重点考虑以上的大学。

二、全国各省2019-2020年北京市大学录取数据分析

1、山西省2019-2020年北京市大学的录取数据

北京高校各省录取分盘点:这6所大学,最适合低分考生,请收藏

山西省的批次分得比较细,从一本A批次的录取数据来看,北京语言大学、北京体育大学、北京第二外国语学院、中国地质大学(北京),中国矿业大学(北京)2020年录取分数最低。这点与2019年的排位有差别,但差别不大,都处于垫底的位置。

北京高校各省录取分盘点:这6所大学,最适合低分考生,请收藏

2、吉林省2019-2020年北京市大学的录取数据

北京高校各省录取分盘点:这6所大学,最适合低分考生,请收藏

北京高校各省录取分盘点:这6所大学,最适合低分考生,请收藏

吉林省2020年录取位次最低的五所大学是北京工商大学、中国矿业大学(北京),北京建筑大学、中国地质大学(北京)、北京体育大学。特别说明:表中数据是包括了少数民族的录取数据,所以大家在参考这个数据时,一定要把少数民族录取分数考虑进去。(吉林省并不会公布详细的录取数据电子稿)

北京高校各省录取分盘点:这6所大学,最适合低分考生,请收藏

北京高校各省录取分盘点:这6所大学,最适合低分考生,请收藏

3、黑龙江省2019-2020年北京市大学的录取数据

北京高校各省录取分盘点:这6所大学,最适合低分考生,请收藏

北京高校各省录取分盘点:这6所大学,最适合低分考生,请收藏

从录取数据来看,2020年垫底的大学有北京农学院、北京印刷学院、北京体育大学、北京工业大学和北京语言大学。而2019年垫底的大学有北京林业大学、北京农学院、北京印刷学院、北京工商大学和北京建筑大学。

北京高校各省录取分盘点:这6所大学,最适合低分考生,请收藏

北京高校各省录取分盘点:这6所大学,最适合低分考生,请收藏

4、江苏省2019-2020年北京市大学的录取数据

北京高校各省录取分盘点:这6所大学,最适合低分考生,请收藏

北京高校各省录取分盘点:这6所大学,最适合低分考生,请收藏

北京高校各省录取分盘点:这6所大学,最适合低分考生,请收藏

北京高校各省录取分盘点:这6所大学,最适合低分考生,请收藏

江苏省2019-2020年北京市垫底大学基本一致,北京信息科技大学、北京建筑大学、北京工商大学、北京体育大学和北京协和医学院基本上位次没有发生变化,只有北二外2020年垫底。

5、安徽省2019-2020年北京市大学的录取数据

北京高校各省录取分盘点:这6所大学,最适合低分考生,请收藏

北京高校各省录取分盘点:这6所大学,最适合低分考生,请收藏

北京高校各省录取分盘点:这6所大学,最适合低分考生,请收藏

北京高校各省录取分盘点:这6所大学,最适合低分考生,请收藏

从安徽省的数据来看,2019-2020年垫底的北京市大学有北京物资学院、中华女子学院、北京印刷学院、北京工商大学、北方工业大学,北二外、北京化工大学位置也偏低。

6、江西省2019-2020年北京市大学的录取数据

北京高校各省录取分盘点:这6所大学,最适合低分考生,请收藏

北京高校各省录取分盘点:这6所大学,最适合低分考生,请收藏

北京高校各省录取分盘点:这6所大学,最适合低分考生,请收藏

北京高校各省录取分盘点:这6所大学,最适合低分考生,请收藏

从江西省2019-2020录取数据中,我们可以发现,北京印刷学院、北京物资学院、北京联合大学、北京体育大学和北京工商大学在这两年中的录取位次都偏低。

7、河南省2019-2020年北京市大学的录取数据

北京高校各省录取分盘点:这6所大学,最适合低分考生,请收藏

北京高校各省录取分盘点:这6所大学,最适合低分考生,请收藏

北京高校各省录取分盘点:这6所大学,最适合低分考生,请收藏

北京高校各省录取分盘点:这6所大学,最适合低分考生,请收藏

河南有意思的地方是每年都有一些著名大学断档,2019年对外经济贸易大学断档,2020年中央财经大学断档。基本上每年垫底的大学是北京印刷学院、北京联合大学、北京物资学院、北京建筑大学、北京工商大学。

8、湖北省2019-2020年北京市大学的录取数据

北京高校各省录取分盘点:这6所大学,最适合低分考生,请收藏

北京高校各省录取分盘点:这6所大学,最适合低分考生,请收藏

北京高校各省录取分盘点:这6所大学,最适合低分考生,请收藏

北京高校各省录取分盘点:这6所大学,最适合低分考生,请收藏

湖北省2019-2020年录取数据分析:北京印刷学院、北方工业大学、北京工商大学、北京体育大学,北京信息科技大学、北京建筑大学这两年的位次都比较低,北京协和医学院招收护理专业,所以录取位次也比较低。

9、湖南省2019-2020年北京市大学的录取数据

北京高校各省录取分盘点:这6所大学,最适合低分考生,请收藏

北京高校各省录取分盘点:这6所大学,最适合低分考生,请收藏

北京高校各省录取分盘点:这6所大学,最适合低分考生,请收藏

北京高校各省录取分盘点:这6所大学,最适合低分考生,请收藏

从两年数据来看,北京工商大学、北京建筑大学、北京联合大学、中华女子学院、北京体育大学的录取位次偏低。

10、广西2019-2020年北京市大学的录取数据

北京高校各省录取分盘点:这6所大学,最适合低分考生,请收藏

北京高校各省录取分盘点:这6所大学,最适合低分考生,请收藏

北京高校各省录取分盘点:这6所大学,最适合低分考生,请收藏

北京高校各省录取分盘点:这6所大学,最适合低分考生,请收藏

广西的数据波动大一点,但总体来看,处于垫底位置的还是北京建筑大学、北京语言大学、北方工业大学、北京工商大学、北京信息科技大学、北京化工大学、北京印刷学院等大学。

11、重庆2019-2020年北京市大学的录取数据

北京高校各省录取分盘点:这6所大学,最适合低分考生,请收藏

北京高校各省录取分盘点:这6所大学,最适合低分考生,请收藏

北京高校各省录取分盘点:这6所大学,最适合低分考生,请收藏

北京高校各省录取分盘点:这6所大学,最适合低分考生,请收藏

重庆的数据显示:北京印刷学院、北京物资学院、北京工商大学、北京林业大学、北方工业大学、北京信息科技大学等大学处于偏低的位置。

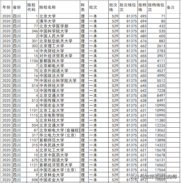
12、四川省2019-2020年北京市大学的录取数据

北京高校各省录取分盘点:这6所大学,最适合低分考生,请收藏

北京高校各省录取分盘点:这6所大学,最适合低分考生,请收藏

北京高校各省录取分盘点:这6所大学,最适合低分考生,请收藏

北京高校各省录取分盘点:这6所大学,最适合低分考生,请收藏

北京物资学院、北京语言大学、中华女子学院、北京印刷学院、北京工商大学等这些大学处于垫底位置。(里面有两个代码的大学,分数偏低的为中外合作大学)

13、贵州省2019-2020年北京市大学的录取数据

北京高校各省录取分盘点:这6所大学,最适合低分考生,请收藏

北京高校各省录取分盘点:这6所大学,最适合低分考生,请收藏

北京高校各省录取分盘点:这6所大学,最适合低分考生,请收藏

北京高校各省录取分盘点:这6所大学,最适合低分考生,请收藏

贵州省2019-2020年一本理科录取数据表明,北京农学院、北京物资学院、北京联合大学、北京印刷学院、北京信息科技大学,等大学在这两年的位置,基本垫底!

14、云南省2019-2020年北京市大学的录取数据

北京高校各省录取分盘点:这6所大学,最适合低分考生,请收藏

北京高校各省录取分盘点:这6所大学,最适合低分考生,请收藏

北京高校各省录取分盘点:这6所大学,最适合低分考生,请收藏

北京高校各省录取分盘点:这6所大学,最适合低分考生,请收藏

云南省2019-2020年一本理科录取数据表明,北京农学院、北京物资学院、北京联合大学、北京印刷学院、北京信息科技大学,等大学在这两年的位置,基本垫底!

15、陕西省2019-2020年北京市大学的录取数据

北京高校各省录取分盘点:这6所大学,最适合低分考生,请收藏

北京高校各省录取分盘点:这6所大学,最适合低分考生,请收藏

北京高校各省录取分盘点:这6所大学,最适合低分考生,请收藏

北京高校各省录取分盘点:这6所大学,最适合低分考生,请收藏

从陕西省的数据来看,北京印刷学院、北方工业大学、北京工商大学、北京信息科技大学和北体、北京建筑大学,往年的录取分数相对低一点。

16、青海省2019-2020年北京市大学的录取数据据

北京高校各省录取分盘点:这6所大学,最适合低分考生,请收藏

北京高校各省录取分盘点:这6所大学,最适合低分考生,请收藏

北京高校各省录取分盘点:这6所大学,最适合低分考生,请收藏

北京高校各省录取分盘点:这6所大学,最适合低分考生,请收藏

从甘肃省的数据来看,北京印刷学院、北京联合大学,北方工业大学、北京工商大学、北京信息科技大学和北体、北京建筑大学,往年的录取分数相对低一点。

17、青海省2019-2020年北京市大学的录取数据

北京高校各省录取分盘点:这6所大学,最适合低分考生,请收藏

北京高校各省录取分盘点:这6所大学,最适合低分考生,请收藏

北京高校各省录取分盘点:这6所大学,最适合低分考生,请收藏

北京高校各省录取分盘点:这6所大学,最适合低分考生,请收藏

从甘肃省的数据来看,北京印刷学院、北方工业大学、北京工商大学、北京信息科技大学和北京建筑大学,往年的录取分数相对低一点。

18、宁夏2019-2020年北京市大学的录取数据

北京高校各省录取分盘点:这6所大学,最适合低分考生,请收藏

北京高校各省录取分盘点:这6所大学,最适合低分考生,请收藏

北京高校各省录取分盘点:这6所大学,最适合低分考生,请收藏

从甘肃省的数据来看,北京印刷学院、北京物资学院、北方工业大学、北京工商大学、北京信息科技大学和北京建筑大学,往年的录取分数相对低一点。

19、新疆2019-2020年北京市大学的录取数据

北京高校各省录取分盘点:这6所大学,最适合低分考生,请收藏

北京高校各省录取分盘点:这6所大学,最适合低分考生,请收藏

从甘肃省的数据来看,北京印刷学院、北京联合大学,北方工业大学、北京工商大学、北京信息科技大学和北体、北京建筑大学,往年的录取分数相对低一点。

温馨提示:
本文【北京语言大学是一本吗(北京高校各省录取分盘点)】由作者教培参考提供。该文观点仅代表作者本人,学分高考系信息发布平台,仅提供信息存储空间服务,若存在侵权问题,请及时联系管理员或作者进行删除。
我们采用的作品包括内容和图片部分来源于网络用户投稿,我们不确定投稿用户享有完全著作权,根据《信息网络传播权保护条例》,如果侵犯了您的权利,请联系我站将及时删除。
内容侵权、违法和不良信息举报
Copyright @ 2024 学分高考 All Rights Reserved 版权所有. 湘ICP备17021685号